顏色色彩管理、配色

色差儀L、a、b、c、h值的含義及轉換關系式
色差儀是顏色量化的重要工具,它可以將顏色信息用特定的符號表示,并示以數字顯示出來,例如用L、a、b、c、h等符號表示出來。對于色差儀L、a、b、c、h值的含義及關系,許多的初始用戶不是很了解。本網文對色差儀L、a、b、c、h的含義及轉換關系式做了介紹。

色差儀L、a、b、c、h值的含義:
L(亮度):表示顏色的明亮程度,取值范圍是0(絕對黑色)到100(絕對白色)。在顏色對比和質量控制方面,L值是衡量顏色明亮程度的重要依據。
a(紅綠軸):代表顏色在紅綠色軸上的位置。a值為正數時表示顏色偏紅,數值越大紅色的成分越明顯;a值為負數時表示顏色偏綠,絕對值越大綠色的成分越突出。在色彩分析中,a值可用于量化顏色在紅綠色調方面的特征。
b(黃藍軸):表示顏色在黃藍色軸上的位置。b值為正數時表示顏色偏黃,數值越大黃色的成分越多;b值為負數時表示顏色偏藍,絕對值越大藍色的成分越顯著。b值在描述顏色的色調和進行顏色匹配時非常關鍵。
c(色度/彩度):表示顏色的鮮艷程度或飽和度。C值越大,顏色越鮮艷、濃烈,越接近純色;C值越小,顏色越接近灰色,飽和度越低。在色彩設計和搭配中,C值用于控制顏色的視覺沖擊力。
h(色調角):用于表示顏色的色調。以角度來度量,不同的角度對應不同的色調。通常規定0°(或360°)表示紅色,90°表示黃色,180°表示綠色,270°表示藍色等。在顏色分類和描述中,h值是確定顏色基本色調的關鍵指標。
色差儀△L、△a、△b、△c、△h值的含義:
△L=L(實測)-L(標準板):表示明度差異。△L偏差為正時,實測明暗度偏淺;△L偏差為負時,實測明暗度偏深。
△a=a(實測)-b(標準板):表示紅綠差異。△a偏差為正時,實測偏紅;△a偏差為負時,實測偏綠。
△b=b(實測)-b(標準板):表示黃藍差異。△b 偏差為正時,實測偏黃;△b偏差為負時,實測偏藍。
△C=C(實測)-C(標準):表示飽和度差異。△C偏差為正,實測偏鮮;△C偏差為負,實測偏土。
△H=[(△Eab)2-(△L)2-(△C)]1/2表示色調差異。△H偏差為正,實測偏逆時針方向色調;ΔH偏差為負,偏順時針方向色調。
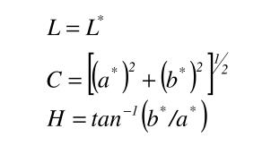
色差儀L、a、b值和L、c、h值轉換公式:
L、c、h值是CIELch顏色空間表示色度值的一種方法,Lch顏色空間是Lab空間變形后得到的圓柱形顏色空間。色彩空間轉換意味著將一個色彩空間中的顏色特征信息轉換到另一色彩空間以,獲得相應的顏色信息,即用不同色彩空間中的數據來表示相同的顏色。LCH色彩空間是從CIELab色彩空間推導出來的,一種顏色可以用LAB表示,也可以用LCH表示。Lab中的a和b分量與LCH中的C和H相關。Lab中的a表示從綠色到紅色的色彩范圍,b表示從藍色到黃色的色彩范圍。LCH中的C是由a和b計算得出的飽和度,H是由a和b計算得出的色相角度。LCH與Lab之間的轉換關系為:
